Service Hotline
About Slkor:
With an elite team graduated from Beijing Tsinghua University, Shenzhen SlkorMicro Semicon Co., Ltd. is dedicated to the third generation semiconductor SiC power devices. Slkor is a national high-tech enterprise covering the R&D, production and sales service of semiconductor devices and provide reliable products and supporting technical services to customers.
In order to help electronic product solution companies, electronic application engineers, and electronics enthusiasts make the most of Slkor products, engineers from Slkor have selected typical cases from client applications to share with everyone.
1.1. Title: Slkor SL4056 Linear CC/CV Li-Ion Charger
1.2. Applications: Mobile Telephones, Handheld Computers, Digital Cameras, GPS, Low Cost and Small Size Chargers.
1.3. Description:
The Slkor 4056 is a low cost linear battery charger for single cell lithium-ion batteries. It has a CC/CV charge profile required for Li-Ion battery. Charge current and charge time are set externally with a single resistor and capacitor, respectively, the maximum charging current can reach 1A. The SL4056 has two open-drain output pins for status indication, namely the charging status indicator pin (CHRG) and the battery fully charged indicator pin (STDBY). The power MOSFET circuit inside the chip automatically reduces the charging current when the junction temperature of the chip exceeds 135℃. This feature allows users to maximize the utilization of the chip for charging without worrying about overheating and damaging the chip or external components. The Slkor? SL4056 is available in a ESOP8 package.
2. Slkor SL4056 Typical Application Circuit:

3.1. Charging Principle:
When the input voltage is higher than the UVLO detection threshold and the chip enable input CE is set to a high level, the SL4056 starts charging the battery. The charging current is determined by the resistor between the PROG pin and the GND pin. As the battery voltage approaches 4.2V, the charging current gradually decreases, and the SL4056 enters the constant voltage charging mode. The charging cycle ends when the charging current decreases to the charging termination threshold, which is 1/10 of the constant current charging current. When the battery voltage drops below the recharge threshold, a new charging cycle automatically begins. The chip's internal high-precision voltage reference source, error amplifier, and resistor divider network ensure that the modulation voltage at the BAT pin has an accuracy within 1%, meeting the requirements of lithium-ion and lithium-polymer batteries. When input power is removed or manual shutdown is entered, the charger will drain only tiny leakage currents (<2μA) from the battery, thus maximizing battery standby time. If the CE pin is set to a low level, the charger stops charging.
3.2. Constant Charge Current Setting:
Charge current is set by connecting a resistor RISET from PROG to GND. The resistance value of the resistor is determined based on the desired charging current and is calculated as follow:

The selection of RPROG in relation to the charging current can be referred to in the following table:

3.3. The calculation for the values of R1 and R2 can be expressed as follows:
To determine the values of R1 and R2 based on the temperature monitoring range of the battery and the resistance value of the thermistor. For example: assuming the battery temperature range is TL to TH (where TL < TH), and the battery uses a negative temperature coefficient thermistor (NTC) with RTL as the resistance at temperature TL and RTH as the resistance at temperature TH. Given that RTL > RTH.
The voltage at the first pin TEMP of the NTC thermistor at temperature TL is:
![]()
The voltage at the first pin TEMP of the NTC thermistor at temperature TH is:
![]()
And then, with

Therefore,

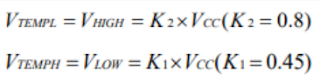
Similarly, if the internal thermistor in the battery is a positive temperature coefficient (PTC) thermistor, then R1 > R2. We can calculate it as follows:

The temperature range to be set is independent of the power supply voltage Vcc and only depends on R1, R2, RTH, and RTL.
4. BOM for Slkor SL4056 Typical Application
Comment | Designator | Quantity |
0603 0.1uF | C1 | 1 |
0603 10uF | C2 | 1 |
1N4148 SOD-123 | D1, D2 | 2 |
0603 100K | R1, R5 | 2 |
0603 10K | R2, R3, R4 | 3 |
MF52 10K NTC | R6 | 1 |
IC SL4056 ESOP-8 | U1 | 1 |
At Slkor, we are working hard to provide professional and comprehensive services. We have a complete product line ranging from the industrial applications to the applications, SiC diodes, SiC MOSFET, IGBT, the 5th generation ultra fast recovery power diodes, etc. These products are vitally applied in electric vehicles, high-end equipments, communication equipments, electric power tools, solar photovoltaic systems and medical equipments and so on. For consumer products, we offer high and low voltage MOS, SCR, rectifier bridges, Schottky diodes, ESD protection diodes, TVS diodes, general-purpose diodes and transistors, power management ICs, Hall sensors, high-speed optical couplers, crystal oscillators, etc. These devices are widely applied to smart phones, laptops, intelligent robots, smart home appliances, IoT and IoV, LED lighting, 3C digital products and other fields. Please keep close contacts with us, we will launch more and more digital and analog IC products to meet your demands.
Solution Details:

Slkor? SL4056 Li-Ion Battery Management Solution(一)

Slkor? SL4056 Li-Ion Battery Management Solution(二)

Slkor? SL4056 Li-Ion Battery Management Solution(三)




粤公网安备44030002007346号